Di seguito proveremo a illustrare la distribuzione, la composizione e la storia della popolazione che ha abitato e che abita tuttora l’America latina. Questa mappatura è rilevante dal punto di vista sociale e politico. Le diversità e le divisioni che osserveremo hanno reso difficili la convivenza e il far sentire la propria voce in modo unitario. Inoltre, hanno determinato delle rivendicazioni politiche non generali bensì specifiche a ogni realtà.
America latina come termine di esclusione
Il termine America latina, per quanto sembri intrinseco alla storia occidentale del continente, venne coniato solo nell’Ottocento. Nel contesto post indipendenza, il potere era detenuto dai creoli – nome dato a coloro nati sul continente americano da genitori iberici – che si identificarono nel concetto di latinidad. Il termine si riferiva in Europa all’insieme delle nazioni cattoliche e latine, in contrapposizione a quelle anglo-sassoni e protestanti, divisione applicabile anche al Nuovo Mondo. I latino-americani erano dunque quella frazione della popolazione di discendenza europea. Quest’ultima si appropriò del termine geografico, escludendone i “dannati della terra”: gli “indiani” e i “neri”.
La costruzione del territorio
La popolazione era e resta molto eterogenea per origini e composizione etnica e per di più è distribuita in modo diseguale. Un ruolo importate è stato giocato dalla geografia: i rilievi imponenti, le caratteristiche idrografiche e le zone aride determinarono la localizzazione degli insediamenti. Furono però le modalità con cui venne portata avanti la conquista a conferire ancora più peso alle realtà morfologiche. Innanzitutto, gli altipiani presentavano un clima più propenso all’adattamento europeo e vi si trovava già una cospicua popolazione locale di agricoltori. Inoltre, i fulcri della colonia si costruirono intorno alle attività minerarie e alle piantagioni, con forti conseguenze sulla composizione delle popolazioni limitrofe. Un aspetto ulteriore fu il forte sviluppo dei porti ai fini del commercio atlantico, che determinò un’alta concentrazione di abitanti sulle coste. In questo modo, grandi zone potenzialmente capaci di accogliere popolazioni dense restarono vuote.
Le tre Americhe
Come riposta alla drastica diminuzione della popolazione indigena conseguente alla colonizzazione, vi sono stati una serie di flussi esogeni che andremo ad analizzare.
Per semplificare, si può parlare di una tripartizione della popolazione che avrebbe costituito un’America indiana, un’America bianca e un’America nera. I diversi colori della pelle hanno storie e momenti d’arrivo diversi. Gli autoctoni, le cui origini remote erano asiatiche, popolarono quelle terre tra i 10 e i 20 000 anni fa; i bianchi cominciarono a installarvisi dal 1492 in poi e i neri vi furono introdotti dall’inizio del Cinquecento. Gli ultimi due gruppi arrivarono sulla scia di eventi traumatici: la conquista e l’instaurazione della tratta degli schiavi. Pertanto, le differenze etniche divennero delle barriere sociali alquanto rigide, che permangono tuttora.
L’America indiana
L’America indiana corrisponderebbe a quelle zone dove si erano stabiliti gli imperi precolombiani. Queste presentano ancora oggi alte percentuali di autoctoni: si tratta del Centro America e della regione andina. La morfologia del territorio ha senz’altro aiutato la loro preservazione. Gli altipiani del Guatemala e della Bolivia e le zone con una vegetazione fitta come l’Amazzonia si rivelarono difficilmente penetrabili dai colonizzatori. Non a caso proprio in Guatemala e in Bolivia – i due Paesi con la più alta percentuale di indigeni – le lingue autoctone hanno ancora una grande importanza e gran parte degli indigeni non parla lo spagnolo.
Man mano che si estendeva la frontiera della civilizzazione europea, l’indigeno è stato spinto verso le zone più povere e remote, lontane dai centri di potere, subendo l’espropriazione delle proprie terre, della propria manodopera e della propria storia.
Il peso politico delle alte concentrazioni di nativi è illustrato dall’indigenismo, ossia dal movimento di rivendicazione politica e culturale di comunità che sono state silenziate e marginalizzate dai processi decisionali da secoli. Se pensiamo ai grandi politici e movimenti rivoluzionari per gli indigeni, sono tutti originari di quelle regioni: Tupac Amaru II nacque nelle Ande peruviane e portò avanti la più grande rivolta indigena contro il potere coloniale; Evo Morales è nato negli altipiani boliviani ed è diventato il primo presidente indigeno del continente; il movimento zapatista si è sviluppato nel Chiapas e sono più di 25 anni che mette in difficoltà il governo messicano.
La República de los Indios però è sempre stata una realtà fittizia e incoerente, in quanto non è mai stato un blocco unitario né omogeneo. Un unicum è rappresentato dalla storia degli indigeni in Cile, in quanto è stata segnata dalla resistenza secolare che i Mapuche hanno portato avanti contro l’occupazione spagnola e che li ha isolati – più di altrove – dalla società coloniale.
L’America bianca
L’America bianca è quella che discende dai colonizzatori iberici e dai cospicui flussi migratori dell’Ottocento. Questi ultimi si concentrarono in quei territori in cui vi era spazio e domanda di manodopera, in seguito all’abolizione della schiavitù. Le densità deboli corrispondevano alle zone che prima della conquista erano abitate da popolazioni seminomadi. Inoltre, il basso numero di indigeni presenti venne ridotto direttamente – e non solo indirettamente tramite lo sfruttamento o il contagio microbico – mediante campagne di sterminio. Questi migranti si installarono quindi principalmente in Argentina, Uruguay e nel Brasile centro-meridionale, che oggi sono le zone più popolate del subcontinente.
Per quel che riguarda i discendenti degli iberici, neanche loro costituivano un blocco omogeneo. Essi provenivano da regioni e da estrazioni sociali diverse, con tutti i contrasti che ne poterono conseguire. La disomogeneità dell’America bianca si palesò tramite uno dei carburanti delle lotte per l’indipendenza, ossia il confronto tra i creoli e i peninsulares – quelli nati sulla penisola iberica.
L’America nera
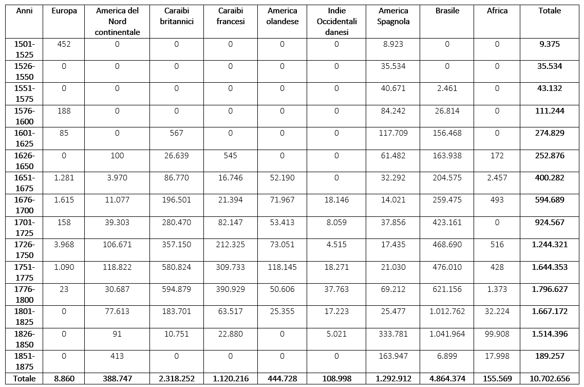
La cosiddetta America nera fu il risultato del commercio di schiavi tra il Golfo di Guinea e le regioni americane a clima tropicale, proficuo per le grandi piantagioni in cui era sparita la manodopera autoctona. Quel clima era molto simile a quello africano, il che rendeva i nuovi arrivati abituati e dunque immuni alle relative malattie, di conseguenza resistenti e adatti ai lavori pesanti.
Milioni attraversarono l’Atlantico, molti di più dei bianchi che arrivarono dall’Europa, anche se ne sopravvissero molti di meno. A parte lo sfruttamento, questa alta mortalità era legata alla filosofia coloniale del “è più facile comprarli che crescerli”, trascurando le spese legate a eventuali cure. D’altra parte, il continuo flusso dall’Africa era dovuto anche alla bassa natalità, legata a un’altra filosofia: il non volere dar vita ad altri schiavi.

Numero di schiavi sbarcati dall’Africa 1501-1875, Fonte: Lo Spiegone
Possiamo sottolineare l’importanza della popolazione africana nella storia, nella cultura – si pensi alle danze e alla musica – e nella politica del continente con vari esempi. Fu per l’appunto un gruppo di ex schiavi a dare inizio alla prima rivoluzione per l’indipendenza. Questa si concluse con successo nel 1804, quando Haiti si distaccò dalla Francia, anticipando di vari anni il fenomeno che si propagherà su tutto il subcontinente. L’influenza delle tradizioni africane è ancora presente anche lì dove, diversamente dal passato, le popolazioni nere sono scarsissime, come l’Uruguay, in cui però il candombé – musica a base di tamburi importata dagli schiavi – rappresenta quello che la samba è per il Brasile.
Oltre la tripartizione
Come abbiamo visto, la tripartizione della popolazione latino-americana si rivela essere eccessivamente semplicistica. In effetti, ogni componente è variegata al suo interno. I frequenti spostamenti e soprattutto le costanti nascite di meticci, mulatti e zambi – incrocio tra un’indigena e un africano – hanno inoltre reso le differenze meno nette. Il perché di questo alto tasso di mescolanza può essere ricondotto in origine a un semplice dato: i primi immigrati europei erano uomini. Per di più si trovavano lontani dal controllo della Chiesa, il che portò a un alto numero di relazioni extra-coniugali dal carattere spesso violento.
L’innalzamento di barriere tra i diversi “gruppi”, la loro gerarchizzazione e le loro entità crearono peculiari ripercussioni locali. Queste condizioni fecero variare il ritmo delle rivoluzioni nonché i portavoce delle varie rivendicazioni, che avevano e continuano ad avere un colore specifico. La politica delle diverse province, e oggi dei diversi Paesi, ha sempre dovuto fare i conti – o almeno avrebbe dovuto – con la propria realtà etnica e le richieste a essa collegate. Ad esempio, le zone a maggioranza indigena e africana hanno fatto pressioni sul riconoscimento delle loro identità e sulla redistribuzione della terra, mentre altre a maggioranza europea o meticcia si sono concentrate su rivendicazioni più simili a quelle riscontrabili nel vecchio continente, quali l’indipendenza politica.
Nel prossimo articolo affronteremo le cause delle distinte ma simultanee rivoluzioni che portarono all’indipendenza delle diverse nazioni del subcontinente.
Fonti e approfondimenti:
Galeano Eduardo, “Las venas abiertas de América Latina”, Siglo XXI España, 2013
Gruzinski Serge, “La pensée metisse”, Pluriel, 2012
Halperin Donghi Tulio, “Historia contemporánea de América Latina”, Alianza Editorial, 2013
Morgan Kenneth , “Cuatro siglos de esclavitud trasatlántica”, 2017
Pompejano Daniele, “Storia dell’America Latina”, Bruno Mondadori, 2012
Zanatta Loris, “Storia dell’America Latina contemporanea”, Editori Laterza, 2010